Skip to content Skip to sidebar Skip to footer

Konsep Dan Contoh Soal Tentang Kuadrat Sempurna / Persamaan Kuadrat Bentuk Rumus Mencari Akar Akar Contoh Soal - (x + p) 2 =q.

Konsep Dan Contoh Soal Tentang Kuadrat Sempurna / Persamaan Kuadrat Bentuk Rumus Mencari Akar Akar Contoh Soal - (x + p) 2 =q.. Bilangan kuadrat sempurna adalah suatu bilangan yang jika diakar (dipangkatkan setengah) hasilnya berupa bilangan asli. Contoh dan cara menentukan akar persamaan senin, 12 juli 2021 Setelah bertumbukan, benda a diam dan benda b bergerak ke kanan dengan kelajuan 2 m/s. Pindahkan konstanta ke ruas kanan 2. (x + p) 2 =q.

Hal itu karena penjumlahan antara 6 dan 3 menghasilkan 9 (nilai b). Sk5 menerapkan konsep impuls dan momentum ada tamb. Pada makalah ini, kita akan mempelajari tentang rumus persamaan kuadrat dan persamaan linier untuk menggambarkan fungsi kuadrat. Jika ada yang mau ditanyakan. Bentuk (x ± p)2 disebut bentuk kuadrat sempurna.

Penyelesaian Persamaan Kuadrat Ppt Download
Penyelesaian Persamaan Kuadrat Ppt Download from slideplayer.info
Contoh soal persamaan kuadrat pilihan ganda dan jawaban pembahasan. Jika ada yang mau ditanyakan. Sk5 menerapkan konsep impuls dan momentum ada tamb. Eperpus adalah layanan perpustakaan digital masa kini yang mengusung konsep b2b. Itulah berbagi kumpulan data terkait contoh soal mencari domain dan range. Tahun 1637, rene descartes, melalui bukunya la geometrie, menuliskan formula penyelesaian yang umum dipelajari saat ini. Silahkan komentar atau hubungi penulis. Jenis akar akar dari persamaan x 2 4x 4 0 yaitu a.

Silahkan komentar atau hubungi penulis.

Jika d berbentuk kuadrat sempurna maka kedua akarnya rasional. Semoga dapat bermanfaat untuk anda. Melengkapkan kuadrat sempurna merupakan salah satu materi yang cukup menarik untuk dibahas. Melengkapkan kuadrat sempurna, merupakan salah satu cara penyelesaian persamaan kuadrat. Kami hadir untuk memudahkan dalam mengelola perpustakaan digital. Sebelumnya cari angka yang akan ditambahkan. Metode pemfaktoran dan penggunaan rumus abc telah dipelajari pada tulisan terdahulu matematika kelas 10 sma. Pada makalah ini, kita akan mempelajari tentang rumus persamaan kuadrat dan persamaan linier untuk menggambarkan fungsi kuadrat. Rumus abc dituliskan sebagai berikut. Demikian uraian mengenai contoh dari tumbukan lenting sempurna beserta contoh soal dan pembahasannya.semoga bermanfaat dan menambah wawasan kita mengenai tumbukan lenting sempurna. Kalau kebetulan kamu ingin belajar tentang materi ini lebih dalam, simak penjelasan lengkapnya berikut. Mengapa, karena ada satu pasang faktornya yang berpasangan dengan dirinya sendiri. Jenis akar akar dari persamaan x 2 4x 4 0 yaitu a.

Kami hadir untuk memudahkan dalam mengelola perpustakaan digital. Hal itu karena penjumlahan antara 6 dan 3 menghasilkan 9 (nilai b). Materi cara melengkapkan kuadrat sempurna ini sangat penting karena banyak kita pakai dalam pembelajaran matematika, seperti persamaan kuadrat, persamaan lingkaran, persamaan parabola, persamaan elips, persamaan hiperbola dan materi lain yang terkait dengan bentuk. Sk5 menerapkan konsep impuls dan momentum ada tamb. Rumus abc dituliskan sebagai berikut.

Ppt Menyelesaikan Persamaan Kuadrat Powerpoint Presentation Free Download Id 2874984
Ppt Menyelesaikan Persamaan Kuadrat Powerpoint Presentation Free Download Id 2874984 from image1.slideserve.com
Selesaikan persamaan x 2 + 6x + 5 = 0 menggunakan metode persamaan kuadrat sempurna! Menyusun model matematika dari masalah yang berkaitan dengan persamaan dan fungsi kuadrat dan menyelesaikan serta memeriksa kebenaran jawabannya (4.10) 10. Materi cara melengkapkan kuadrat sempurna ini sangat penting karena banyak kita pakai dalam pembelajaran matematika, seperti persamaan kuadrat, persamaan lingkaran, persamaan parabola, persamaan elips, persamaan hiperbola dan materi lain yang terkait dengan bentuk. Sebelumnya cari angka yang akan ditambahkan. Ingat bahwa konstanta 18 bisa dibentuk oleh hasil perkalian antara 6 dan 3. Rumus abc dituliskan sebagai berikut. Demikian uraian mengenai contoh dari tumbukan lenting sempurna beserta contoh soal dan pembahasannya.semoga bermanfaat dan menambah wawasan kita mengenai tumbukan lenting sempurna. Pembahasan materi persamaan kuadrat untuk sma.

Contoh dan cara menentukan akar persamaan senin, 12 juli 2021

(a + b) 2 = a 2 + 2ab + b 2. Contoh soal (4) berikut ini bisa diselesaikan dengan pemfaktoran dan melengkapkan kuadrat sempurna. Itulah berbagi kumpulan data terkait contoh soal mencari domain dan range. Ada cara lebih praktis selain metode pemfaktoran dan melengkapi kuadrat sempurna. Kumpulan soal ekonomi dan jawaban ketenagakerjaan berikut ini diberikan beberapa contoh soal dan jawaban pokok. Banyak faktor dari bilangan kuadrat sempurna adalah ganjil. Contoh soal dan jawaban jenis akar persamaan kuadrat. Jika koefisien x yang baru kita sebut b, maka tambah kedua ruas dengan ½b2.… Mengidentifikasi dan menerapkan konsep fungsi dan persaman kuadrat dalam menyelesaikan masalah nyata dan menjelaskannya secara lisan dan tulisan (4.9) 9. Sehingga jumlah faktornya sebanyak bilangan ganjil. Menyusun model matematika dari masalah yang berkaitan dengan persamaan dan fungsi kuadrat dan menyelesaikan serta memeriksa kebenaran jawabannya (4.10) 10. Kuadrat sempurna adalah bilangan yang dapat dinyatakan sebagai hasil kali dari dua bilangan bulat yang sama. Kalau kebetulan kamu ingin belajar tentang materi ini lebih dalam, simak penjelasan lengkapnya berikut.

Semoga dapat bermanfaat untuk anda. Selesaikan persamaan 2x2 8x 1 0 Sebelumnya cari angka yang akan ditambahkan. Bentuk (x ± p)2 disebut bentuk kuadrat sempurna. Pasar persaingan sempurna terjadi apabila tidak ada satupun produsen yang bisa mempengaruhi harga pasar.

Persamaan Kuadrat Lengkap Pengertian Rumus Contoh Soal
Persamaan Kuadrat Lengkap Pengertian Rumus Contoh Soal from saintif.com
Kuadrat sempurna adalah bilangan yang dapat dinyatakan sebagai hasil kali dari dua bilangan bulat yang sama. Tahun 1637, rene descartes, melalui bukunya la geometrie, menuliskan formula penyelesaian yang umum dipelajari saat ini. Banyak faktor dari bilangan kuadrat sempurna adalah ganjil. Melengkapkan kuadrat sempurna, merupakan salah satu cara penyelesaian persamaan kuadrat. Sehingga jumlah faktornya sebanyak bilangan ganjil. Kami juga telah menyediakan soal yang bisa diselesaikan untuk latihan. Jika ada yang mau ditanyakan. Maka dari itu, kami membuat makalah ini bertujuan untuk mempelajari lebih dalam tentang …

Melengkapkan kuadrat sempurna, merupakan salah satu cara penyelesaian persamaan kuadrat.

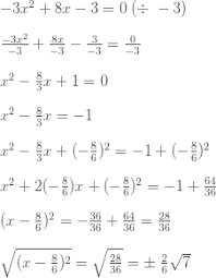
Jenis akar akar dari persamaan x 2 4x 4 0 yaitu a. Berikut ini penjelasan lengkap tentang persamaan kuadrat mulai dari konsep dasar menentukan akar akar rumus abc menyusun persamaan kuadrat baru contoh soal. Yang berlaku pada peristiwa tumbukan lenting sempurna adalah… a. Misalnya 1, 4, 9, 16, 25, 36, …. Contoh soal (4) berikut ini bisa diselesaikan dengan pemfaktoran dan melengkapkan kuadrat sempurna. Sehingga jumlah faktornya sebanyak bilangan ganjil. (a − b) 2 = a 2 − 2ab + b 2. Pindahkan konstanta ke ruas kanan 2. Nama yang sebenarnya adalah mengubah persamaan kuadrat menjadi kuadrat sempurna. Persamaan dan fungsi kuadrat melengkapkan bentuk kuadrat sempurna menyelesaikan persamaan kuadrat dengan melengkapkan kuadrat artinya mengubah persamaan kuadrat ax 2 + bx + c = 0 menjadi bentuk (x ± p) = q , dengan p, q ∈ r dan q ≥ 0. Contoh soal dan jawaban jenis akar persamaan kuadrat. Ada cara lebih praktis selain metode pemfaktoran dan melengkapi kuadrat sempurna. Oleh dosenpendidikan diposting pada 27/03/2021.

Post a Comment for "Konsep Dan Contoh Soal Tentang Kuadrat Sempurna / Persamaan Kuadrat Bentuk Rumus Mencari Akar Akar Contoh Soal - (x + p) 2 =q."